|
Chapitre 5 : Figures et liens
utiles pour la compréhension de la matière
|
|
|
Analogie entre l'altitude et
le potentiel électrique
L'énergie potentielle
gravitationnelle pour une masse provient de la différence de hauteur
entre son emplacement et une hauteur de référence (souvent le sol).
|
L'énergie potentielle électrique pour une charge provient de
la différence de potentiel entre son emplacement et un point de
référence (souvent un point de potentiel nul).
|
|
|
|
|
Représentation du potentiel généré
par 3 charges le long d'une droite

|
|
|
|
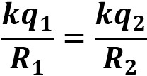
Conducteurs de forme quelconque
Cas simple de deux sphères de rayons
différents et reliés par un fil conducteur :
|

|
|
|
Le champ étant nul dans le condcteur, on
observe le même potentiel partout en surface
|

|
|
|
Le potentiel à la surface immédiate de chaque
sphère se calcule par « kq/R » et l'égalité peut
s'exprimer :
(simplification)
|

 |
|
|
Faisons intervenir la charge surfacique (et
l'aire d'une sphère) pour substituer les charges q des deux
sphères dans l'égalité...
(simplification)
.
|



|
|
|
Réarrangement :
Conclusion : La charge surfacique
n'est pas uniforme; un rayon de courbure plus petit provoque une
densité de charge plus grande, donc un champ électrique plus fort
autour de lui (effet de pointe).
|

|
|
|
|
Applications concrètes
Métal au micro-ondes
Paratonnerres
|

|
|
|
|
Position sécuritaire lors d'un orage
C'est la position réduisant le plus la
présence de pointes conductrices dans la forme du corps, ainsi que
la qualité du contact entre le corps et le sol (position sur la
pointe des pieds).
|

|
|